When browsing within a hierarchical application structure, the Symbian Belle UI offers direct access from one folder to another (sibling) folder in the same level. The Arrow left and Arrow right keys are used to accomplish this. The Navi pane displays the sibling folders as tabs.

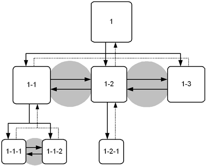
Figure: In this example, each displayed state is a folder containing a list of items. State 1 contains three folders (1-1, 1-2, 1-3). When the user has opened one of these, there is a possibility to move directly into the other two folders without first going back to state 1. Folder 1-1 contains two sub-folders and folder 1-2 contains one.
This additional navigation feature can be interpreted as a shortcut between sibling folders. For navigating hierarchical application structures, the basic navigation rules are applied, noticing the following:
Moving from one folder to another has no effect on the function of the Back softkey in these views: from all of them, the Back function leads to the previous hierarchy level.
The navigation shortcuts can only be applied when there is no other use for the Arrow left and Arrow right keys in the state.