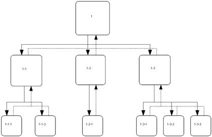
The traditional hierarchical tree structure forms the basis for navigation. The user can move forward from one node (state) by opening an available item or selecting an option from a menu. The Back function (available in the right softkey Back) returns to the previous level in the hierarchy. In the initial state of an application (number 1 in the figure below), the Exit function replaces Back in the right softkey and is used for closing the application.

Figure: Example of the basic state hierarchy in an application. The solid lines indicate moving forward from a state into a sub-state. The dotted lines are backward moves to the previous level.